Resultant Of Two Vectors Of Magnitude P And Q Is R
Vector R acts at an angle with vector P. We have P 2Q.
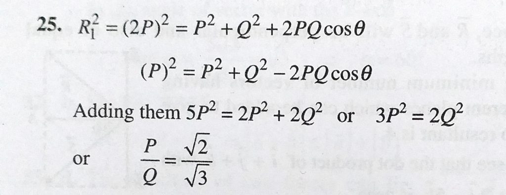
The Resultant Of Two Forces P And Q Is Of Magnitude P If P Be Doubled The Resultant Will Be Inclined To Q At An Angle
Let R be the resultant vector.

Resultant of two vectors of magnitude p and q is r. But OC R OA P and AC OB Q. Maximum and minimum magnitude of the resultant of two vectors P and Q are given by putting 0 and 180 in expression R P 2 Q 2 2 P Q c o s . Question From Cengage BM Sharma MECHANICS 1 VECTORS JEE Main JEE Advanced NEET KVPY AIIMS CBSE RBSE UP MP BIHAR BOARDQUESTION TEXT-The resultant.
Resultant of two vectors vecA and vecB is of magnitude P If vecB is reversed then resultant is of magnitude Q. Given that Two vectors of magnitudes P and Q are found to be in a ratio 31. Loading DoubtNut Solution for you.
What is the value of P2 Q2. This browser does not support the video element. We know the resultant R is given by R root over of P2Q22PQcostheta Hence if theta90 degree Then costheta0 Thus R2P2Q2 And the angle is 90 degree Hope that helps you QGP QGP Well explained.
Let the angle between two vectors P and Q be alpha and their resultant is R So we can write R2P2Q22PQcosalpha1 When Q is doubled then let the resultant vector be R_1 So we can write R_12P24Q24PQcosalpha2 Again by the given condition R_1 is perpendicular to P So 4Q2P2R_123 Combining 2 and 3 we get R_12P2P2R_124PQcosalpha 2PQcosalpha-P2. Join the 2 Crores Student community now. Problem The position vector of a particle is vecr.
When Q is reversed R is again doubled. So R2 152 202 2 15 20 cos 60 Or R2 225 400 300 925. The magnitude of two vectors P and Q given by RPQwhat is the angle between them 2 See answers angelic090 angelic090 Hey there.
R 2 P 2 2 PQ cos Q 2. C o s . If the magnitude of Q.
Is doubled the new resultant vector becomes perpendicular to P. The magnitude of two vectors will be maximum when they are added together and minimum they are subtract. If vecB is reversed then resultant is of magnitude Q.
Vector Operations Multiplication and Division of a Vector by a Scalar Vector Addition Two vectors Pand Qmay be added to form a resultant vector R P Q Vector addition is commutative. Then for the identity R S 2P Q to hold good a The forces are collinear b The forces act as right angles to each other c The forces are inclined at 45 to each other d The forces can have any angle of inclination between them. Let R be the resultant of two vectors P and Q.
Were always here. The direction of the resultant is the same as the vector having a larger magnitude. The resultant of two vectors P and Q is R.
The magnitude of R is given by R sqrt P2 Q2 2PQcos where is the angle between P and Q. If vector Q is doubled vector R is doubled. Watch Video in App.
From triangle OCB In triangle ABC Also Magnitude of resultant. The resultant of two forces P and Q is of magnitude P. The minimum magnitude is.
OC 2 OA 2 2 OAAC cos AC 2. They are acting at an angle 60. This preview shows page 34 - 37 out of 42 pages.
The resultant of two vectors P and Q is R. 2 is correct option. According to the given problem i The resultant of two forces P and Q is R.
The resultant of two forces P and Q is R. The maximum magnitude is. Resultant of two vectors vecA and vecB is of magnitude P.
If one of the forces is reversed in direction then the resultant becomes S. If Q is doubled the new resultant is perpendicular to P. Join to connect with other students 247 anytime night or dayJoin Here.
The resultant of two vectors P and Q is R. Resultant of two vectors of magnitude P and Q is of magnitude QIf the magnitude of vecQ is doubled now the angle made by new resultant with vecP is. The resultant of vector P and Q is vector R.
Then the magnitude of R is equal to. P2 Q is correct relation. Watch 1 minute video.
Watch 1000 concepts tricky questions explained. According to the parallelogram law of vector addition the resultant R is the diagonal of the parallelogram of which P and Q are the adjacent sides as shown in the figure. If the resultant of three forces F 1 pi 3j k F 2 5i j 2k and F 3 6i k acting on a particle has magnitude equal to 5.
Let P and Q be the two forces having magnitudes 15 Newtons and 20 Newtons respectively. Or R 304138 Newtons. The resultant of two vectors.
The resultant of two vectors P and Q is R If the magnitude of Q is doubled the new resultant becomes perpendicular to P then the magnitude of R is A 2 P Q 2PQ B 2 P Q 2PQ C Q D P Q 10. To keep watching this video solution for FREE Download our App. What is the value of P2Q2.
If the force P is doubled Q remaining the same then angle between new resultant If the force P is doubled Q remaining the same then angle between new resultant. Perfect New questions in Physics. If Q is doubled the new resultant is perpendicular to P.
Apne doubts clear karein ab Whatsapp par bhi. 2935 K views 2649 K people like this Like Share. Resultant of two vectors of magnitude P and Q is of magnitude Q If the magnitude of vecQ is doubled now the angle made by new resultant with vecP is.

Resultant Of Two Vectors Of Magnitudes P And Q Is The Magnitude Q If The Magnitude Of Q Is Doubled Brainly In

The Resultant Of Two Vectors P And Q Is Perpendicular To P And Its Magnitude Is Half Of That Of Q Brainly In

Resultant Of Two Vectors Of Magnitude P And Q Is Of Magnitude Q If The Magnitude Of O Is Doubled Now The Angle Made By New Re 67

The Resultant Of Two Vectors Vec P And Vec Q Is Vec R If The Magnitude Of Vec Q Is Doubled The New Resultant Vector Becomes Perpendicular To Vec P Then The Magnitude Of Vec R

Maximum And Minimum Magnitudes Of The Resultant Of Two Vectors Of Magnitudes P And Q Are In The Youtube

When Two Forces Of Magnitude P And Q Are Perpendicular To Each Other Their Resultant Is Of Magnitude R When They Are At An Angle Of 180 To Each Other Their Resultant

When Two Vectors Of Magnitudes P And Q Are Inclined At An Angle Theta The Magnitudes Of Their Resultant Is 2p When The Inclination Is Changed To 180 Theta The Magnitudes Of The

The Resultant Of Two Vectors P And Q Is R If The Magnitude Of Q Is Doubled The New Resultant Vector Becomes Perpendicular To P Then The Magnitude Of R Is Equal

The Resultant Of Two Vectors P And Q Is R If Q Is Doubled The New R Askiitians
![]()
The Resultant Of Two Vectors P And Q Is R If Q Is Doubled T Scholr

Resultant Of Two Vectors P And Q Is R If The Magnitude Of Q Is Doubled New Resultant Becomes Brainly In

The Resultant Of Two Vectors P And Q Is R If The Magnitude Of Q Is Doubled The New Resultant In Brainly In

The Resultant Of Two Vectors P And Q Is R If The Vector Q Is Reversed Then The Resultant Becomes S Then Choose The Correct Option

The Resultant Of Two Vectors P And Q Is R If Q Is Doubled Then The New Resultant Vector Is Brainly In

If The Resultant Of Two Forces Of Magnitudes P And Q Acting At A Point At An Youtube

When Two Vectors Of Magnitude P And Q Are Inclined At An Angle Theta The Magnitude Of Their Resultant Is 2 P When The Inclination Is Changed To 180 Theta

Resultant Of 2 Vectors Of Magnitudes P And Q Is Of Magnitude Q If The Magnitude Of Q Is Physics Motion In A Plane 9101815 Meritnation Com

Resultant Of Two Vectors Of Magnitude P And Q Is Of Magnitude Q If The Magnitude Of Youtube

The Resultant Of Two Forces P And Q Is Of Magnitude P If The Force P Is Doubled Q Remainin Youtube
Post a Comment for "Resultant Of Two Vectors Of Magnitude P And Q Is R"